한국공학대학 경영학과 강지훈 교수
[컴퓨터월드] 2025 CES 기조연설에서 엔비디아(NVIDIA)의 CEO 젠슨 황은 미래 기술의 중요한 축으로 ‘물리 인공지능(Physical AI)’개념을 강조하며, 물리적 시스템과 인공지능의 융합기술이 산업과 공학 전 분야를 혁신할 것이라고 말했다. Physical AI는 기존의 빅데이터를 처리하는 인공지능 시스템을 넘어서 물리적 세계를 이해하고 이를 기계와 로봇에 반영하는 기술로, 자율주행, 스마트 제조, 에너지 최적화 등 다양한 분야에서 핵심적인 역할을 수행할 것으로 기대되고 있다.
Physical AI의 여러 핵심 요소 중 하나는 AI 기술이 직면한 공학적 난제들을 해결하는 것이다. 기존에 수많은 학자가 집대성한 자연과학 및 공학 원리(예: 방정식, 시뮬레이션 결과 등)를 AI 모델에 통합적으로 학습시킴으로써 모델의 물리적 신뢰성을 확보하고 데이터 기반 추론의 한계를 극복한다는 것이다. 3회에 걸친 연재를 통해 이 주제의 핵심 아이디어를 공유하고자 한다.
◇ 물리적 지식과 머신러닝 기술의 연결을 통한 공학 문제의 해결: Physics-informed ML(2월 호)
◇ 수학 도구를 활용해 변화를 모델링하는 방법, PIML의 핵심 개념 소개(이번 호)
◇ PIML 연구의 주된 흐름과 사례, 향후 가능성 (4월 호)
우리는 학창 시절부터 덧셈, 뺄셈, 곱셈, 나눗셈 등 사칙연산부터 시작해 함수, 미적분, 행렬, 확률 통계, 기하 등 수많은 수학 개념을 배워왔다. 시험을 위해 공식을 열심히 암기하고 문제를 풀어왔지만, 정작 이 수학의 개념들이 우리 주변 세계를 어떻게 설명하는지, 왜 필요한지 깊이 고민할 기회는 많지 않았다.
하루는 학생들에게 “미분은 뭐죠?”라고 물어봤더니, 대부분의 학생은 “접선을 구하는 것 아닌가요?” 혹은 “차수를 하나 내리는 것 아닌가요?”라는 대답을 했다. 아마도 고등학교 때까지 문제 풀이에 강하게 매몰될 수밖에 없는 교육 구조에서 이런 답들은 당연한 것이 아닌가 하는 생각이 들었다. 물론 그 대답들이 틀린 말은 아니다.
다만, 세상의 변화를 이해하고 그 이치에 대해 설명해야 하는 공학, 물리학, 사회과학과 같은 분야에서는 보다 근본적인 의미의 수학 개념을 이해하는 것이 중요하다. 미분계수(derivative coefficient) 혹은 도함수(derivative function)라고 부르는 dy/dx는 우리의 관심 대상인 변화하는 어떤 것(y:주로 종속변수라 한다)이 변화의 원인이 되는 다른 어떤 것(x:주로 독립변수라 한다)대비 얼마나 변화하는지, 즉, 상대적인 변화의 속도(혹은 비율)를 나타내는 것을 핵심 의미로 보는 것이 가장 미분의 세계와 변화를 표현하는 것 사이의 괴리를 줄여준다고 필자는 생각한다.
이번 회에서는 우리가 학창 시절부터 배운 수학이 어떻게 현실 세계와 변화를 설명하는지, 그리고 이러한 개념들이 기존의 물리 모델과 머신러닝에서 어떻게 활용되는지 구체적인 예시를 통해 알아보고자 한다. 더 나아가, 이 두 가지 접근법을 결합하는 방법론인 PIML이 어떻게 공학 문제 해결의 새로운 패러다임이 되는지도 함께 알아보도록 하자.
1. 서스펜션(스프링(spring)-댐퍼(damper)) 시스템과 그 안의 수학 도구들
여러분이 매일 타고 다니는 자동차가 도로의 요철로부터 오는 충격을 그대로 받는다면, 차체가 계속 흔들려 당연히 승차감이 나빠지고, 차체의 강성과 구조적 결합이 불안정해질 것이다. 이를 방지하기 위해 자동차에는 기본적으로 서스펜션(suspension) 시스템이 장착돼 있는데, 이는 크게 스프링과 댐퍼로 구성된다.
스프링은 차체의 충격을 흡수하고 스프링의 탄성으로 변환시켜 차체를 복원하는 역할을 수행하며, 댐퍼는 스프링이 받은 충격을 자제시켜 진동(늘었다 줄었다의 반복)을 줄이고 안정시키는 역할을 수행한다.
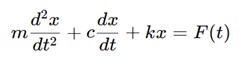
차가 과속방지턱을 넘을 때를 상상해보면 쉽게 이해가 가는데, 넘는 순간, 차체가 위로 튀어오르며 스프링이 압축되고(탄성력이 작용), 스프링은 당연히 원래 길이로 돌아가려 하기에, 그대로 두면 당연히 위아래로 출렁거리게 된다. 이때, 댐퍼가 이 운동을 마찰력으로 억제시켜 차체를 빠르게 안정시키게 되며 우리가 편안한 운전을 할 수 있게 되는 것이다. 이러한 과정을 수학적으로 설명하는 것이 바로 아래의 식으로 설명하는 서스펜션 진동(vibration)에 대한 2차 선형 미분방정식이다.
여기서 m은 차량의 질량을, x는 차체의 위치(주로 변위(displacement)라고 표현), c는 댐퍼의 계수로서 스프링에 가해지는 마찰력을, k는 스프링이 갖는 탄성계수를, F(t)는 외부의 힘을 의미한다.
수학이나 물리를 다루는 사람들에게는 매우 간단한 방정식이지만, 일반인들에게는 이런 표현 자체가 생소하게 느껴질 수 있을 것이다. 사실, 이 수식에서 우리가 학창시절에 배우지 못한 내용은 없다. 뜯어보면, 더하기(+), 곱하기(*) 등의 사칙연산과, 위치의 시간에 대한 1차 미분값(속도)와 2차 미분값(가속도)로 구성돼 있다.
차량의 질량 * 가속도 + 마찰력 * 속도 + 스프링 탄성 * 위치 = 차량에 가해지는 외부힘(과속 방지턱을 만나서 발생하는 힘)이 사실 이 수식의 전부이며, 뉴턴의 제 2법칙(혹은 가속도 법칙)이라고 알려져 있는, 우리에게도 매우 친숙한 F=ma로부터 유도된 결과물이다. 질량과 가속도가, 스프링의 마찰력과는 속도가, 탄성은 위치가 서로 곱해지는 것은 그 짝을 이루는 변수들이 서로에게 물리적으로 영향을 주기 때문이다. 예를 들어 자동차가 방지턱을 넘는 순간에, 튕겨나간 위치(변위)가 클수록 복원력이 증가하거나, 그 속도가 클수록 마찰로 인한 감쇠력이 증가하는 것을 상상해보면 이해가 쉬울 것이다.
힘은 어떤 형태이건 운동으로 전환되지 않고 사라지는 법은 없기에 차량에 가해지는 방지턱 충격은 스프링의 변화와 스프링에 가해지는 마찰력의 역할로 상쇄됨을 표현한 방정식으로, 차량뿐만 아니라 진동을 예측하고 저감이 필요한 모든 분야(ex. 건축의 내진 설계, 로봇의 균형 및 충격 흡수, 스피커의 진동 제어, 공(ball)의 설계 등)에서 필수적인 요소이다. 하지만 위의 식에서 표현한 스프링의 진동은 1차원적인 변위(차체 전체의 위아래 위치 변동)만을 고려하고 있기 때문에, 실제 공학 문제에서 그대로 활용하기에는 한계가 있다.
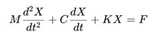
현실적으로 자동차에는 여러 개의 바퀴가 존재하며, 각 바퀴가 도로에서 받는 충격량은 다를 수 있기에, 자동차 서스펜션 시스템은 단순히 한 방향의 진동을 고려하는 것이 아니라, 각 바퀴에 개별적으로 가해지는 충격을 흡수하면서도 차체가 쏠림 없이 균형을 유지하는 문제를 해결해야 한다. 보통 물리를 다루는 시스템에서는 이를 ‘다중 자유도(Multi-Degree-of-Freedom) 시스템으로서의 확장’이라 칭하며 대부분의 공학 문제는 이런 복잡한 시스템을 기반으로 구성돼 있다.
이처럼 다양한 변수가 서로 상호작용을 하며 존재하는 문제에서 모델을 보다 정교하게 분석하고 설계하기 위해서는 선형대수(Linear Algebra)의 개념을 도입할 필요가 있다. 즉, 단일 변수로 표현되던 질량(M), 감쇠 계수(C), 스프링 강성(K), 변위(X) 등의 요소를 벡터(vector)와 행렬(matrix) 형태로 확장해 다차원의 세계로 표현해야 한다.
이를 통해 개별 바퀴의 충격 저감뿐 만 아니라, 차체의 기울어짐(롤링, 피칭)과 같은 복잡한 동역학적 거동까지 모델에 반영하게 돼, 현실적인 주행 환경에서 차량의 안정성과 승차감을 동시에 고려할 수 있는 정밀한 서스펜션 설계가 가능해진다.
선형대수학은 다변수의 수학적 구조와 관계를 다루는 분야이다. 미분이나 적분, 사칙연산처럼 변화를 직접 계산하지는 않지만, 현실의 문제들은 대부분 다변수로 이루어져 있으며, 이러한 다변수 시스템을 체계적으로 표현하고 분석하는 데 필수적인 역할을 한다. 따라서 공학문제와 같은 복잡한 시스템을 이해하고 해결하는 과정에서 선형대수학은 중요한 수단이 된다.
아래의 식은 서스펜션 시스템의 다중 자유도를 반영한 방정식이다 (사실 표현상으로는 주요 변수(m,c,k)가 소문자에서 대문자로 바뀐 것뿐이다. 자유도가 높은 벡터/행렬을 대문자로 치환한 것).
필자 역시 학창 시절, “어떤 힘은 질량과 가속도의 곱이라고? 그래서 어쩌라는 거지? 이걸 어떻게 실제 활용할 수 있을까?” 하는 고민을 했던 기억이 있다.
변화에 대한 수학적 도구를 이해하는 과정에서 단순히 F=ma라는 관계식을 외우기보다는, 이를 변화의 원천(힘)과 변화의 결과(운동)가 균형을 이루는 관계로 바라보는 것이 더 직관적이라고 생각한다. 즉, F−ma=0이라는 형태로 문제를 접근(balance equation)하면, 변화의 원인과 결과가 동등하게 표현되므로 모델링할 때 훨씬 자연스럽다.
이는 지난 회에서 논의했던, 세상의 변화를 수학적 함수로 표현하고, 그 함수와 실제 데이터 간의 차이를 최소화하는 원리와도 일맥상통한다. 즉 모델과 현실 간의 오차를 최대한 작고 무의미하게 만드는 과정이 모든 모델링이 공유하고 있는 핵심 원리이며, 이것을 달성할 수 있는 수학적 방법론이 바로 최적화(optimization)이다.
수학에서 최적화의 개념은 미분을 활용해 발전해왔다. 모델링의 관점에서 미분의 핵심 기능 중 첫 번째는 Y−f(x)(세상의 변화와 내 모델의 차이)를 최소화하는 데 활용된다는 점인데, 이는 머신러닝의 핵심 개념인 오차함수(혹은, 비용함수)의 최소화 개념과도 직결된다. 머신러닝에서는 데이터를 기반으로 모델 f(x)를 학습하고, 실제 관측값 Y와의 차이를 줄이기 위해 미분(혹은 컴퓨터의 힘을 활용한 미분)을 이용해 최적의 가중치(weight)를 찾는다.
두 번째 핵심 기능은 잘 만들어진 f(x)를 활용해 더 나은 미래의 Y를 찾아내는 것, 즉 최적 설계(Optimal Design) 혹은 최적 제어(Optimal Control) 같은 공학 문제에 활용된다는 점이다. 서스펜션 시스템을 예로 들면, 시스템을 수식으로 잘 표현해 차량의 승차감과 안정성을 동시에 만족하는 최적의 설계 파라미터를 찾는 과정이 바로 최적화 기술의 대표적인 공학 응용이다.
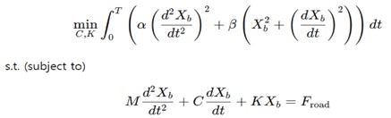
이를 보다 구체적으로 설명하면, 최적 설계 문제는 다음과 같은 식으로 표현할 수 있다.
이 목적함수의 왼쪽 항은 차체의 가속도 변화를 나타내며, 이 값이 작아질수록 차량의 승차감(comfort)이 개선된다. 반면, 오른쪽 항은 차체의 위치 편차(자세 안정성)와 속도 편차(불필요한 진동)를 나타내며, 이 값이 작아질수록 차량의 형상적 균형(Stability)이 유지된다.
결국, 최적의 공학설계(design)란 이 방정식을 최소화하는 스프링 탄성, 마찰력, 질량 등의 값을 찾아내는 과정이며, 이는 단순한 수식이 아니라 실제 차량의 서스펜션을 설계하는 핵심 원리가 된다. 그러나 이러한 방정식은 대부분 손으로 풀 수 없는 형태의 복잡한 미분방정식(ODE, PDE)으로 구성되며, 따라서 컴퓨터를 활용한 수치해석(Numerical Methods)이 필수적이다.
수치해석 기법은 단순히 방정식을 푸는 것뿐만 아니라, 식으로 표현되지 않는 복잡한 현상마저 해석할 수 있는 강력한 도구로 발전해왔다. 이러한 수학적 기법들 덕분에 우리는 데이터 기반으로 모델을 만들고, 최적 설계를 수행하며 더 나아가 머신러닝을 통해 데이터에서 함수 f(x)를 추출하는 능력을 가지게 됐다.
결국 오늘날 시대를 지배하는 다양한 AI 방법론들의 기틀 역시 이러한 수학적 원리에서 비롯된 것이다.
2. 머신러닝과 물리모델의 조화: PIML의 핵심 기능과 필요성
이렇듯 접근 방식과 지향점에 미세한 차이는 있지만, 본질적으로 모든 수학적 모델링은 변화를 이해하고 설명하는 데 목적을 두고 있다. 선배 과학자들이 발견해온 자연의 법칙과, 빅데이터를 기반으로 추론되는 머신러닝의 법칙이 연계될 수 있는 이유도 여기에 있다.
두 접근법을 잘 결합하면, 기존의 물리 법칙을 활용해 데이터 기반 모델의 신뢰성을 높이고, 동시에 머신러닝의 강력한 패턴 인식 능력을 활용해 물리 모델이 놓칠 수 있는 복잡한 현상을 설명할 수 있다.
<그림 2>는 관측된 진동 데이터가 연속적인 형태가 아니라 특정 시간 구간에서만 샘플링된 제한적인 데이터(sparse data)를 기반으로, 미분방정식의 해를 신경망 모델로 학습시킨 결과를 나타내고 있다. 이 문제를 순수 머신러닝 관점에서 접근한다고 가정하면, 이전 회에서 언급한 몇 가지 어려움이 존재할 수 있는데, 첫째, 주기적인 진동 패턴을 처리하려면 많은 양의 시계열 데이터가 필요하지만, 일반적인 실험 환경이나 현실문제에서는 충분한 데이터를 확보하기 어려울 수 있다.
둘째, 머신러닝 모델은 내삽(interpolation)에는 강하지만, 외삽(extrapolation)문제에는 취약한 경향이 있다. <그림 2>와 같이 기존에 데이터가 확보되지 않은 구간(5~15초)에서 상대적으로 적은 수의 샘플을 기반으로 학습된 모델은 변위값이 시간 흐름에 따라 수렴하는 현상을 예측하는 데 어려움을 겪음을 확인할 수 있다.
이러한 문제를 해결하기 위해, 미분방정식의 해를 머신러닝 모델의 제약조건(Constraints)이나 목적함수(Objective Function)에 반영하면 더 정확한 모델링이 가능하다. 즉, 머신러닝이 단순히 데이터를 학습하는 것이 아니라, 기본적인 물리 법칙을 존중하면서 학습하도록 유도하는 것이다.
이러한 아이디어를 시작으로 PIML(Physics-Informed Machine Learning)과 같은 새로운 AI 기법이 탄생하게 된 것이며, 기존 데이터 기반 모델보다 훨씬 신뢰성이 높고 과학적으로도 일관적인 결과를 제공할 수 있다.
<그림 3>은 <그림 2>와 동일한 데이터(소수의 샘플, 외삽문제를 포함한)를 물리제약을 추가한 신경망 모델(PINN)로 학습시킨 결과이다. 신경망의 비용함수(loss function)에 약 10% 정도의 미분방정식의 해에 대한 가중치를 추가해준 결과물인데, 내삽구간(0~5초)에서의 적합도(fitness) 측면에서 약간의 손실 대신, 예측 패턴 관점에서 진동의 수렴성을 기존 신경망 모델에 비해 잘 표현하고 있는 것을 알 수 있다.
결론적으로 수학적 모델링과 머신러닝은 서로 다른 도구처럼 보이지만, 결국 동일한 목표를 지향한다. 변화를 이해하고, 예측하고, 최적화하는 것. 따라서 전통적인 물리 모델과 데이터 기반 AI 모델들을 효과적으로 결합한다면, 우리는 공학적 문제뿐만 아니라 다양하고 복잡한 시스템들을 보다 정밀하게 분석하고 설계할 수 있는 새로운 가능성을 열어갈 수 있을 것이다.
다음 회에서는 보다 구체적인 PIML 방법론들의 특징과 연구 방향 그리고 향후 다양한 공학 분야에 대한 적용 가능성에 대해 실제 분석사례들을 통해 살펴보도록 하겠다.


